
Publicado em: 5 de maio de 2020 | Atualizado: maio 5, 2020
/i.s3.glbimg.com/v1/AUTH_59edd422c0c84a879bd37670ae4f538a/internal_photos/bs/2020/J/j/GhBFL7SIugQeMJzCVIMQ/funcionarios-hospitais.jpg)
Bahia registra mais 65 casos de coronavírus e ultrapassa 4 mil pessoas com a doença — Foto: Reprodução/TV Bahia
A Bahia registrou, nas últimas horas, 65 novos casos confirmados de coronavírus e ultrapassou a marca de quatro mil pessoas diagnosticadas com a doença, segundo o boletim divulgado pela Secretaria de Saúde do Estado (Sesab) na noite desta terça-feira (5). No total, foram notificados 4.040 pacientes com a Covid-19. O número de mortes subiu para 146, dois a mais do que os dados no boletim da manhã.
Segundo informações da Sesab, o 145º óbito foi de um idoso de 73 anos, residente em Salvador, com histórico de diabetes. O paciente estava internado em um hospital público na capital baiana e morreu no dia 30 de abril. O caso teve notificação tardia para o Cievs.
Já a 146ª morte foi de um homem de 38 anos, residente em Salvador, sem doenças preexistentes. O paciente estava internado em um hospital público na capital baiana e morreu no dia 29 de abril, tendo também informação tardia do óbito para o Cievs.
Ao comparar os boletins divulgados pela Sesab às 17h da segunda-feira (4) e o desta terça, é possível perceber que houveram cinco mortes e 306 casos confirmados no estado nas últimas 24 horas. Por volta das 12h, o órgão divulgou os três primeiros óbitos registrados nesta terça e 65 casos.
Das 144 mortes registradas pela Sesab, 95 ocorreram em Salvador. As demais estão distribuídas pelos municípios de Adustina (1); Água Fria (1); Araci (1); Belmonte (1); Buerarema (1); Camaçari (1); Capim Grosso (1); Catu* (1); Feira de Santana (2); Gongogi (2); Ibirataia (1); Ilhéus (5); Ipiaú (2); Itabuna (6); Itagibá (1); Itapé (1); Itapetinga (2); Jequié* (1); Juazeiro (1); Lauro de Freitas (5); Maraú (1); Nilo Peçanha (1); São Francisco do Conde (1); Ubaitaba (1); Uruçuca (4); Utinga (1); Vereda* (1); Vitória da Conquista (4).
De acordo com a Sesab, na Bahia, dos 762 leitos disponíveis do Sistema Único de Saúde (SUS) exclusivos para Covid-19, 394 possuem pacientes internados, o que representa uma taxa de ocupação de 52%. No que se refere aos leitos de UTI adulto e pediátrico, dos 318 leitos exclusivos para o coronavírus, 194 possuem pacientes internados, compreendendo uma taxa de ocupação de 61%. Cabe ressaltar que novos leitos serão abertos progressivamente mediante o aumento da demanda.
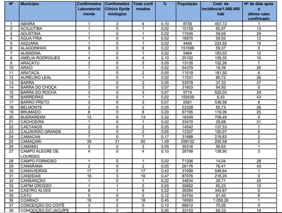
Os casos confirmados estão distribuídos em 152 municípios do estado, com maior proporção em Salvador (64,33%). Os municípios com os maiores coeficientes de incidência por 1.000.000 habitantes são Ilhéus (1.577,06), Uruçuca (1.510,79), Itabuna (1.120,89), Ipiaú (1.068,17) e Coaraci (1.059,26).
Segundo a Sesab, no período de 27 de março a 5 de maio houve um aumento do número de casos confirmados laboratorialmente de Covid-19 na Bahia, com incremento de 3.184,55 casos no período.
/i.s3.glbimg.com/v1/AUTH_59edd422c0c84a879bd37670ae4f538a/internal_photos/bs/2020/C/M/ahhwFNTAA7G76XxUFEAg/tabela0505parte1.png)
Sesab confirmou 4.040 casos confirmados da Covid-19 na Bahia — Foto: Reprodução/Sesab
/i.s3.glbimg.com/v1/AUTH_59edd422c0c84a879bd37670ae4f538a/internal_photos/bs/2020/A/U/cbhBFMTnSw88Xn7MhH2w/tabela0505parte2.png)
Sesab confirmou 4.040 casos confirmados da Covid-19 na Bahia — Foto: Reprodução/Sesab
/i.s3.glbimg.com/v1/AUTH_59edd422c0c84a879bd37670ae4f538a/internal_photos/bs/2020/4/q/S3H6jjRe6niMubIKmOqw/tabela0505parte3.png)
Sesab confirmou 4.040 casos confirmados da Covid-19 na Bahia — Foto: Reprodução/Sesab
/i.s3.glbimg.com/v1/AUTH_59edd422c0c84a879bd37670ae4f538a/internal_photos/bs/2020/9/G/Vm0aHQSMehzKB6fZBTDg/tabela0505parte4.png)
Sesab confirmou 4.040 casos confirmados da Covid-19 na Bahia — Foto: Reprodução/Sesab
/i.s3.glbimg.com/v1/AUTH_59edd422c0c84a879bd37670ae4f538a/internal_photos/bs/2020/e/y/uGCTyrRxaTDKN6Yc39RA/tabela0505parte5.png)
Sesab confirmou 4.040 casos confirmados da Covid-19 na Bahia — Foto: Reprodução/Sesab
Ainda segundo o boletim da Sesab, sete casos confirmados que anteriormente haviam sido notificados nas cidades de Amargosa, Bom Jesus da Lapa, Guanambi, Cristópolis, Saubara, Ponto Novo e Saúde tinham como registro do provável local de infecção a cidade de Salvador.
Um caso foi registrado em Vereda e tem registro do provável local de infecção a cidade de Ilhéus e outro foi registrado em Cruz das Almas com localidade provável de infecção no Rio de Janeiro. Nesta terça (5), a Sesaab informou que um caso foi registrado em Guaratinga como registro provável em Ipiaú.
Na dia 23 de abril, a cidade de Cruz das Almas aparecia com um caso notificado como registro do provável local de infecção a cidade de Salvador. Depois, a Sesab confirmou que o caso é do Rio de Janeiro.
O mesmo acontece com 21 casos de residentes de outros estados que foram notificados em cidades baianas. Até o 9° caso, a Sesab confirmou que dois foram notificados em Salvador, cinco em Feira de Santana e dois de Lauro de Freitas. A partir do 10° caso, o órgão não detalhou mais os locais onde os pacientes foram registrados.
De acordo com o órgão de saúde, um caso confirmado que anteriormente havia sido notificado na cidade de Irecê está em investigação para saber o provável local de infecção. Esse caso segue sem a informação confirmada.
A Sesab também informou que cinco dos casos confirmados do município de Castro Alves foram confirmados por Teste Rápido. Após a investigação epidemiológica foi identificado que um paciente que foi confirmado no domingo (3) em Seabra é residente do estado do Tocantins.
Dos 4.040 casos confirmados, 862 já encontram-se recuperados e 3.032 casos encontram-se ativos. A Sesab também informou que o Lacen realizou, no período de 1º de março a 13h45 desta terça, o total de 22.108 exames de vírus respiratórios, cujos resultados já foram liberados. No momento, há 2.018 exames em análise.
De acordo com a Sesab, a faixa etária mais acometida foi a de 30 a 39 anos, representando 24,41% do total. Quanto ao sexo dos casos confirmados, o órgão informou que 50,07% são do sexo feminino.
Nesta terça, a Sesab informou que o coeficiente de incidência por 1.000.000 habitantes foi maior na faixa etária de mais de 80 anos (509,41/1.000.000 habitantes), indicando que o risco de adoecer foi maior nesta faixa, seguida de 30 a 39 anos (429,79/1.000.000 habitantes).
Cinco pessoas infectadas pela Covid-19 tiveram mortes divulgadas nesta terça. Confira os três primeiros casos informados no boletim das 12h:
