
Publicado em: 12 de maio de 2020 | Atualizado: maio 12, 2020
/i.s3.glbimg.com/v1/AUTH_59edd422c0c84a879bd37670ae4f538a/internal_photos/bs/2020/T/A/r6EktlSDGppVFKbalBfA/ew9nzmlxkaer8x8.jpg)
Bahia registra mais 11 mortes por coronavírus e número chega a 225 — Foto: Reprodução/Governo da Bahia
A Bahia registrou, nas últimas horas, 11 novas mortes de pacientes com coronavírus. De acordo com o boletim divulgado pela Secretaria de Saúde (Sesab) no início da noite desta terça-feira (12), o estado totaliza 6.204 pessoas contaminadas com a Covid-19, com 225 mortes, 11 a mais do que os números apresentados no última segunda (11).
Segundo informações da Sesab, os 11 novos óbitos foram registrados em Salvador, Ilhéus e Itabuna. Confira os casos:
Ao comparar os boletins divulgados pela Sesab às 17h da segunda (11) e o desta terça, é possível perceber que houve 11 mortes e 388 casos confirmados no estado nas últimas 24 horas. O órgão informou que não vai mais divulgar boletins parciais às 12h.
Do total do número de mortes, 145 ocorreram em Salvador. As outras 69 foram em Adustina (1); Água Fria (1); Araci (1); Belmonte (1); Buerarema (3); Camaçari (3); Capim Grosso (3); Catu (1); Coaraci (1); Feira de Santana (2); Gandu (1); Gongogi (2); Ibirataia (1); Ilhéus (14); Ipiaú (2); Itabuna (8); Itagibá (1); Itapé (1); Itapetinga (2); Jacobina (1); Jequié (2); Jitaúna (1); Juazeiro (2); Lauro de Freitas (5); Maraú (1); Nilo Peçanha (1); Paramirim (1); Porto Seguro (1); Ribeira do Pombal (1); São Francisco do Conde (1); São Sebastião do Passé (1); Ubaitaba (1); Uruçuca (5); Utinga (1); Vera Cruz (1); Vereda (1) e Vitória da Conquista (4). Estes números contabilizam todos os registros de janeiro até as 17h desta terça.
De acordo com a Sesab, na Bahia, dos 1.090 leitos disponíveis do Sistema Único de Saúde (SUS) exclusivos para Covid-19, 475 possuem pacientes internados, o que representa uma taxa de ocupação de 44%. No que se refere aos leitos de UTI adulto e pediátrico, dos 462 leitos exclusivos para o coronavírus, 255 possuem pacientes internados, compreendendo uma taxa de ocupação de 55,2%. Cabe ressaltar que novos leitos serão abertos progressivamente mediante o aumento da demanda.
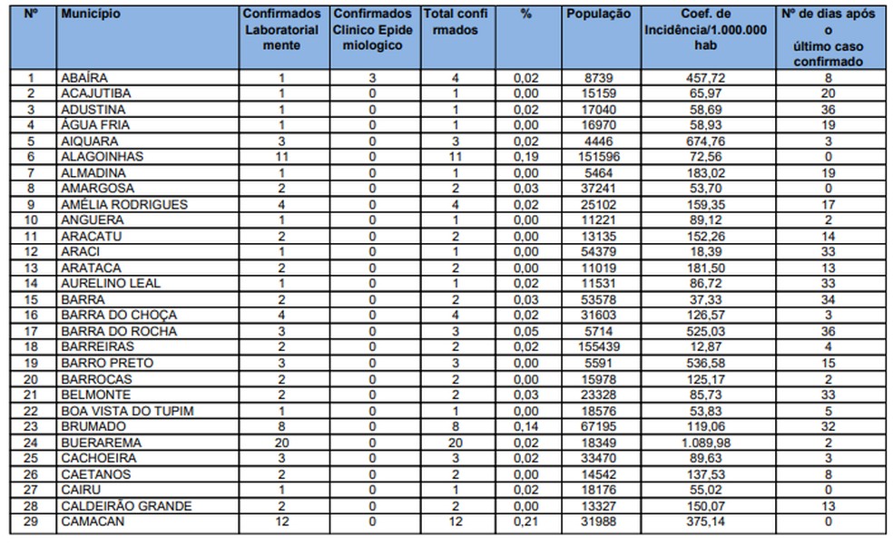
Os casos confirmados estão distribuídos em 180 municípios do estado, com maior proporção em Salvador (71,84%). Os municípios com os maiores coeficientes de incidência por 1.000.000 habitantes são Ipiaú (2.485,12), Uruçuca (2.339,30), Ilhéus (1.805,00), Itabuna (1.655,54) e Salvador (1.428,10).
Segundo a Sesab, no período de 27 de março a 12 de maio houve um aumento do número de casos confirmados laboratorialmente de Covid-19 na Bahia, com incremento de 4.943,90 casos no período.
/i.s3.glbimg.com/v1/AUTH_59edd422c0c84a879bd37670ae4f538a/internal_photos/bs/2020/u/7/EKN2TgT8KD1xnfOqz9yg/tabela1205parte1.png)
Sesab confirmou 6.204 casos confirmados da Covid-19 na Bahia — Foto: Reprodução/Sesab
/i.s3.glbimg.com/v1/AUTH_59edd422c0c84a879bd37670ae4f538a/internal_photos/bs/2020/f/B/mBlwl1RwmDDyklAxvPnA/tabela1205parte2.png)
Sesab confirmou 6.204 casos confirmados da Covid-19 na Bahia — Foto: Reprodução/Sesab
/i.s3.glbimg.com/v1/AUTH_59edd422c0c84a879bd37670ae4f538a/internal_photos/bs/2020/K/l/Nv7PqWQ7GBjAcXroNGrA/tabela1205parte3.png)
Sesab confirmou 6.204 casos confirmados da Covid-19 na Bahia — Foto: Reprodução/Sesab
/i.s3.glbimg.com/v1/AUTH_59edd422c0c84a879bd37670ae4f538a/internal_photos/bs/2020/Z/Q/EK15f4S4SFwXoQTXi69Q/tabela1205parte4.png)
Sesab confirmou 6.204 casos confirmados da Covid-19 na Bahia — Foto: Reprodução/Sesab
/i.s3.glbimg.com/v1/AUTH_59edd422c0c84a879bd37670ae4f538a/internal_photos/bs/2020/h/F/IbdsFHThmb4z6ctWs0Mw/tabela1205parte5.png)
Sesab confirmou 6.204 casos confirmados da Covid-19 na Bahia — Foto: Reprodução/Sesab
Ainda segundo o boletim da Sesab, 12 casos confirmados que anteriormente haviam sido notificados nas cidades de Amargosa (2), Bom Jesus da Lapa (1), Guanambi (1), Cristópolis (1), Saubara (1), Ponto Novo (1), Miguel Calmon (1), Maragogipe (1), Mirante (1), Muritiba (1), , Ruy Barbosa (1), Inhambupe (1), e Saúde (1) tinham como registro do provável local de infecção a cidade de Salvador.
Um caso foi registrado em Vereda e tem registro do provável local de infecção a cidade de Ilhéus, um caso de foi registrado em Alagoinhas de provável local de infecção em Recife e outro foi registrado em Cruz das Almas com localidade provável de infecção no Rio de Janeiro. Na terça (5), a Sesab informou que um caso foi registrado em Guaratinga como registro provável em Ipiaú.
Na dia 23 de abril, a cidade de Cruz das Almas aparecia com um caso notificado como registro do provável local de infecção a cidade de Salvador. Depois, a Sesab confirmou que o caso é do Rio de Janeiro.
O mesmo acontece com 22 casos de residentes de outros estados que foram notificados em cidades baianas. Até o 9° caso, a Sesab confirmou que dois foram notificados em Salvador, cinco em Feira de Santana e dois de Lauro de Freitas. A partir do 10° caso, o órgão não detalhou mais os locais onde os pacientes foram registrados.
De acordo com o órgão de saúde, um caso confirmado que anteriormente havia sido notificado na cidade de Irecê está em investigação para saber o provável local de infecção. Esse caso segue sem a informação confirmada.
Na última sexta-feira (8), a Sesab informou que após investigação epidemiológica verificou-se que havia sido confirmado um caso como Serrolândia mas trata-se de um residente de Valente.
Dos 6.204 casos confirmados, 1.644 já encontram-se recuperados e 4.335 casos encontram-se ativos. A Sesab também informou que o Lacen realizou, no período de 1º de março a 13h desta segunda, o total de 28.720 exames de vírus respiratórios, cujos resultados já foram liberados. No momento, há 2.029 exames em análise.
De acordo com a Sesab, a faixa etária mais acometida foi a de 30 a 39 anos, representando 25,73% do total. Quanto ao sexo dos casos confirmados, o órgão informou que 50,98% são do sexo feminino.
Nesta terça, a Sesab informou que o coeficiente de incidência por 1.000.000 habitantes foi maior na faixa etária de mais de 80 anos (772,07/1.000.000 habitantes), indicando que o risco de adoecer foi maior nesta faixa, seguida de 30 a 39 anos (695,69/1.000.000 habitantes).
