
Publicado em: 6 de maio de 2020 | Atualizado: maio 6, 2020
/i.s3.glbimg.com/v1/AUTH_59edd422c0c84a879bd37670ae4f538a/internal_photos/bs/2020/J/j/GhBFL7SIugQeMJzCVIMQ/funcionarios-hospitais.jpg)
Bahia registra 54 novos casos de coronavírus e chega a 4.301 pessoas contaminadas — Foto: Reprodução/TV Bahia
A Bahia registrou, nas últimas horas, 54 novos casos confirmados de coronavírus. De acordo com o boletim divulgado pela Secretaria de Saúde (Sesab) no início da noite desta quarta-feira (6), o estado totaliza 4.301 pessoas contaminadas com a doença, com 160 mortes, 14 a mais do que os números apresentados na última terça-feira (5).
Segundo informações da Sesab, o 152º óbito foi de uma mulher, de 53 anos, com histórico de imunossupressão, residente em Coaraci. A paciente estava internada em hospital filantrópico de Itabuna. Ela deu entrada dia 18 de abril e morreu no dia 1° de maio.
Já a 153ª morte foi de uma idosa de 71 anos, residente em Salvador, com histórico de diabetes e hipertensão arterial. Ela estava internada em um hospital público da capital. Ela deu entrada no dia 12 de abril e morreu na segunda-feira (4).
De acordo com a Sesab, o 154º óbito foi de um homem, de 41 anos, residente em Gandu, com histórico de insuficiência renal aguda, doença hepática crônica. O paciente estava internado em hospital público de Ilhéus, desde o dia 15 de abril e também morreu no dia 1° de maio.
A 155ª morte foi de uma idosa de 70 anos, residente em Ilhéus, com histórico de doença cardiovascular, diabetes e pneumonia crônica. Ela deu entrada no dia 28 de abril e morreu um dia depois, no dia 29.
Já o 156º óbito foi de um idoso de 80 anos, residente em Ilhéus, com doença cardiovascular crônica. O paciente foi internado em um hospital público de Ilhéus no dia 18 de abril e morreu um dia depois, no dia 19.
Ainda de acordo com a Sesab o 157º óbito foi de um homem, de 52 anos, também residente em Ilhéus, com histórico de cardiopatia. Ele foi internado em um hospital público de Ilhéus no dia 15 de abril e morreu no dia 29 do mesmo mês.
Já a 158ª morte foi de uma mulher, de 42 anos, residente em Ilhéus, com histórico de hepatopatia crônica. A paciente foi internada em um hospital público de Ilhéus, no dia 14 de abril e morreu no dia 25.
O 159º óbito foi de um idoso, de 65 anos, residente em Ilhéus, sem doenças preexistentes. O paciente foi internado em um hospital público de Ilhéus no dia 29 de abril e morreu um dia depois, no dia 30.
Já a 160º morte foi de um idoso, de 65 anos, residente em Ilhéus, com histórico de cardiopatia e pneumonia crônica. O paciente foi internado em um hospital público de Ilhéus no dia 4 de abril e morreu um dia depois, no dia 5.
Ao comparar os boletins divulgados pela Sesab às 17h da terça-feira (5) e o desta quarta, é possível perceber que houve 14 mortes e 261 casos confirmados no estado nas últimas 24 horas. Por volta das 12h, o órgão divulgou os quatro primeiros óbitos registrados nesta quarta e 207 casos.
Do número total de mortes, 98 ocorreram em Salvador. As demais estão distribuídas pelos seguintes municípios: Adustina (1); Água Fria (1); Araci (1); Belmonte (1); Buerarema (3); Camaçari (1); Capim Grosso (1); Catu* (1); Coaraci (1); Feira de Santana (2); Gandu (1); Gongogi (2); Ibirataia (1); Ilhéus (11); Ipiaú (2); Itabuna (6); Itagibá (1); Itapé (1); Itapetinga (2); Jequié* (1); Juazeiro (1); Lauro de Freitas (5); Maraú (1); Nilo Peçanha (1); Ribeiro do Pombal (1); São Francisco do Conde (1); Ubaitaba (1); Uruçuca (4); Utinga (1); Vereda* (1); Vitória da Conquista (4). Estes números contabilizam todos os registros de janeiro até 17 horas desta quarta-feira (6).
De acordo com a Sesab, na Bahia, dos 752 leitos disponíveis do Sistema Único de Saúde (SUS) exclusivos para Covid-19, 424 possuem pacientes internados, o que representa uma taxa de ocupação de 56%. No que se refere aos leitos de UTI adulto e pediátrico, dos 349 leitos exclusivos para o coronavírus, 223 possuem pacientes internados, compreendendo uma taxa de ocupação de 64%. Cabe ressaltar que novos leitos serão abertos progressivamente mediante o aumento da demanda.
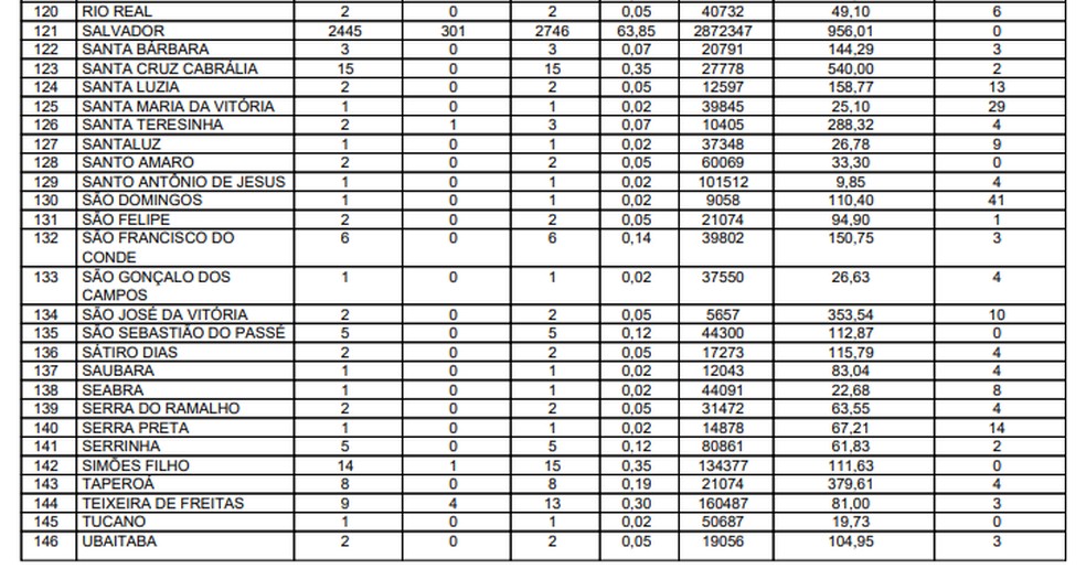
Os casos confirmados estão distribuídos em 155 municípios do estado, com maior proporção em Salvador (63,85%). Os municípios com os maiores coeficientes de incidência por 1.000.000 habitantes são Ipiaú (1.983,74), Ilhéus (1.644,83), Uruçuca (1.510,79), Itabuna (1.205,31) e Coaraci (1.059,26).
Segundo a Sesab, no período de 27 de março a 6 de maio houve um aumento do número de casos confirmados laboratorialmente de Covid-19 na Bahia, com incremento de 3.396,75 casos no período.
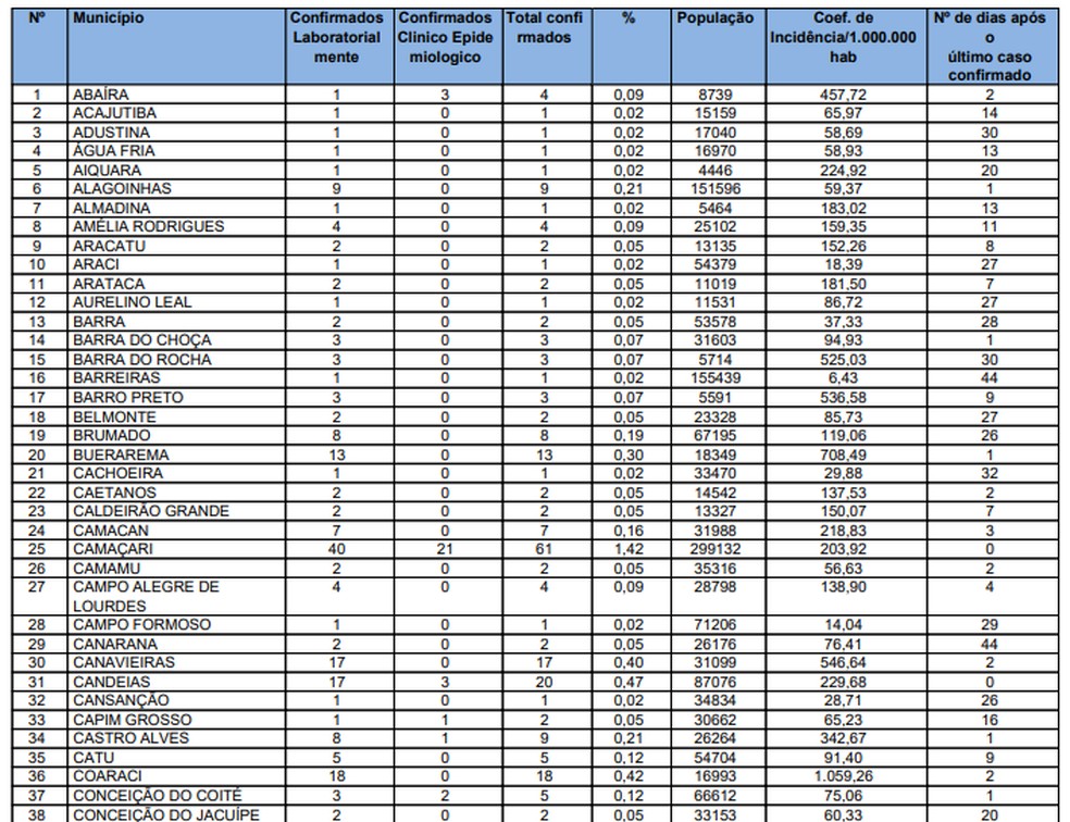
/i.s3.glbimg.com/v1/AUTH_59edd422c0c84a879bd37670ae4f538a/internal_photos/bs/2020/o/n/UfyBbeRJe5ClSXj4AeAQ/tabela0605parte1.png)
Sesab confirmou 4.301 casos confirmados da Covid-19 na Bahia — Foto: Reprodução/Sesab
/i.s3.glbimg.com/v1/AUTH_59edd422c0c84a879bd37670ae4f538a/internal_photos/bs/2020/q/o/ElUErrQMK228paSKP2ig/tabela0605parte2.png)
Sesab confirmou 4.301 casos confirmados da Covid-19 na Bahia — Foto: Reprodução/Sesab
/i.s3.glbimg.com/v1/AUTH_59edd422c0c84a879bd37670ae4f538a/internal_photos/bs/2020/q/6/qGoyuHRT6v0NAuxFN7AQ/tabela0605parte3.png)
Sesab confirmou 4.301 casos confirmados da Covid-19 na Bahia — Foto: Reprodução/Sesab
/i.s3.glbimg.com/v1/AUTH_59edd422c0c84a879bd37670ae4f538a/internal_photos/bs/2020/o/B/KJL14SQaCD0gDmod9YDg/tabela0605parte4.png)
Sesab confirmou 4.301 casos confirmados da Covid-19 na Bahia — Foto: Reprodução/Sesab
/i.s3.glbimg.com/v1/AUTH_59edd422c0c84a879bd37670ae4f538a/internal_photos/bs/2020/Z/w/EgBtLAST2PieyaaDWpWw/tabela0605parte5.png)
Sesab confirmou 4.301 casos confirmados da Covid-19 na Bahia — Foto: Reprodução/Sesab
Ainda segundo o boletim da Sesab, oito casos confirmados que anteriormente haviam sido notificados nas cidades de Amargosa (2), Bom Jesus da Lapa (1), Guanambi (1), Cristópolis (1), Saubara (1), Ponto Novo (1) e Saúde (1) tinham como registro do provável local de infecção a cidade de Salvador.
Um caso foi registrado em Vereda e tem registro do provável local de infecção a cidade de Ilhéus e outro foi registrado em Cruz das Almas com localidade provável de infecção no Rio de Janeiro. Nesta terça (5), a Sesaab informou que um caso foi registrado em Guaratinga como registro provável em Ipiaú.
Na dia 23 de abril, a cidade de Cruz das Almas aparecia com um caso notificado como registro do provável local de infecção a cidade de Salvador. Depois, a Sesab confirmou que o caso é do Rio de Janeiro.
O mesmo acontece com 21 casos de residentes de outros estados que foram notificados em cidades baianas. Até o 9° caso, a Sesab confirmou que dois foram notificados em Salvador, cinco em Feira de Santana e dois de Lauro de Freitas. A partir do 10° caso, o órgão não detalhou mais os locais onde os pacientes foram registrados.
De acordo com o órgão de saúde, um caso confirmado que anteriormente havia sido notificado na cidade de Irecê está em investigação para saber o provável local de infecção. Esse caso segue sem a informação confirmada.
A Sesab também informou que cinco dos casos confirmados do município de Castro Alves foram confirmados por Teste Rápido. Após a investigação epidemiológica foi identificado que um paciente que foi confirmado no domingo (3) em Seabra é residente do estado do Tocantins.
Dos 4.301 casos confirmados, 818 já encontram-se recuperados e 3.223 casos encontram-se ativos. A Sesab também informou que o Lacen realizou, no período de 1º de março a 14h15 desta quarta, o total de 23.114 exames de vírus respiratórios, cujos resultados já foram liberados. No momento, há 1.958 exames em análise.
De acordo com a Sesab, a faixa etária mais acometida foi a de 30 a 39 anos, representando 24,23% do total. Quanto ao sexo dos casos confirmados, o órgão informou que 50,40% são do sexo feminino.
Nesta terça, a Sesab informou que o coeficiente de incidência por 1.000.000 habitantes foi maior na faixa etária de mais de 80 anos (573,08/1.000.000 habitantes), indicando que o risco de adoecer foi maior nesta faixa, seguida de 30 a 39 anos (454,20/1.000.000 habitantes).
Quatorze pessoas infectadas pela Covid-19 tiveram mortes divulgadas nesta quarta. Confira os cinco primeiros casos informados no boletim das 12h:
