
Publicado em: 9 de maio de 2020 | Atualizado: maio 9, 2020
/i.s3.glbimg.com/v1/AUTH_59edd422c0c84a879bd37670ae4f538a/internal_photos/bs/2020/J/9/mCl8RlTvS7ZjSRvhVRTw/foto-eloi-correa-govba.jpeg)
Bahia registra 73 novos casos de coronavírus e chega a 4.818 pessoas contaminadas. — Foto: Elói Corrêa/Governo da Bahia
A Bahia registrou, nas últimas horas, 86 novos casos confirmados de coronavírus. De acordo com o boletim divulgado pela Secretaria de Saúde (Sesab) no início da noite deste sábado (9), o estado totaliza 5.174 pessoas contaminadas com a doença, com 196 mortes, 13 a mais do que os números apresentados na última sexta-feira (8).
Segundo informações da Sesab, os novos óbitos em relação ao boletim da manhã deste sábado (9), são:
Ao comparar os boletins divulgados pela Sesab às 17h da sexta-feira (8) e o deste sábado (9), é possível perceber que houve 356 casos confirmados no estado nas últimas 24 horas. Por volta das 12h, o órgão divulgou os sete primeiros casos registrados neste sábado com 270 novos casos.
Do número total de mortes, 128 ocorreram em Salvador. As demais estão distribuídas pelos seguintes municípios: Adustina (1); Água Fria (1); Araci (1); Belmonte (1); Buerarema (3); Camaçari (1); Capim Grosso (2); Catu* (1); Coaraci (1); Feira de Santana (2); Gandu (1); Gongogi (2); Ibirataia (1); Ilhéus (12); Ipiaú (2); Itabuna (6); Itagibá (1); Itapé (1); Itapetinga (2); Jequié (2); Jitaúna (1), Juazeiro (1); Lauro de Freitas (5); Maraú (1); Nilo Peçanha (1); Ribeiro do Pombal (1); São Francisco do Conde (1); Ubaitaba (1); Uruçuca (4); Utinga (1); Vereda* (1); Vitória da Conquista (4). Estes números contabilizam todos os registros de janeiro até 17 horas desta sexta-feira (9).
De acordo com a Sesab, na Bahia, dos 893 leitos disponíveis do Sistema Único de Saúde (SUS) exclusivos para Covid-19, 432 possuem pacientes internados, o que representa uma taxa de ocupação de 48%. No que se refere aos leitos de UTI adulto e pediátrico, dos 422 leitos exclusivos para o coronavírus, 227 possuem pacientes internados, compreendendo uma taxa de ocupação de 3,8%%. Cabe ressaltar que novos leitos serão abertos progressivamente mediante o aumento da demanda.
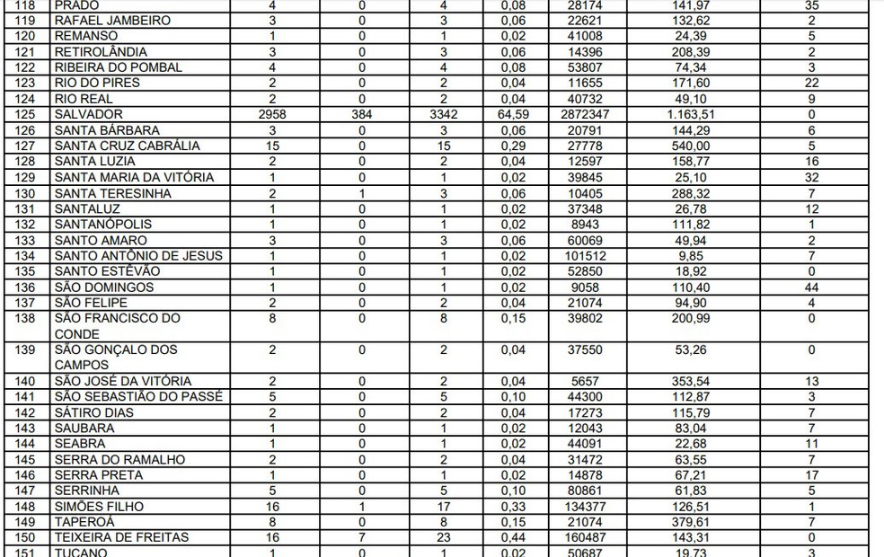
Os casos confirmados estão distribuídos em 162 municípios do estado, com maior proporção em Salvador (64,59%). Os municípios com os maiores coeficientes de incidência por 1.000.000 habitantes são Ipiaú (2.463,32), Uruçuca (2.046,88), Ilhéus (1.780,36), Itabuna (1.514,85) e Coaraci (1.176,96).
/i.s3.glbimg.com/v1/AUTH_59edd422c0c84a879bd37670ae4f538a/internal_photos/bs/2020/E/g/omeFeIRre1CW3ABfKoyg/01.jpg)
Bahia registra 5.174 casos de coronavírus e número de mortes. — Foto: Reprodução / Sesab
/i.s3.glbimg.com/v1/AUTH_59edd422c0c84a879bd37670ae4f538a/internal_photos/bs/2020/b/F/vo6xvlR7uqrsPMC4yYMg/02.jpg)
Bahia registra 5.174 casos de coronavírus e número de mortes — Foto: Reprodução / Sesab
/i.s3.glbimg.com/v1/AUTH_59edd422c0c84a879bd37670ae4f538a/internal_photos/bs/2020/c/f/Frxk20T8e3BAgBXCIt3w/03.jpg)
Bahia registra 5.174 casos de coronavírus e número de mortes — Foto: Reprodução / Sesab
Bahia registra 5.174 casos de coronavírus e número de mortes — Foto: Reprodução / Sesab
/i.s3.glbimg.com/v1/AUTH_59edd422c0c84a879bd37670ae4f538a/internal_photos/bs/2020/T/n/RACJdCRVep1xff3I1N0g/05.jpg)
Bahia registra 5.174 casos de coronavírus e número de mortes. — Foto: Reprodução / Sesab
/i.s3.glbimg.com/v1/AUTH_59edd422c0c84a879bd37670ae4f538a/internal_photos/bs/2020/9/M/n4cgFlQ6avKECBWHxdfw/06.jpg)
Bahia registra 5.174 casos de coronavírus e número de mortes — Foto: Reprodução / Sesab
Dos 4.818 casos confirmados, 1.337 já encontram-se recuperados e 3.641 casos encontram-se ativos.
De acordo com a Sesab, a faixa etária mais acometida foi a de 30 a 39 anos, representando 25,01% do total. Quanto ao sexo dos casos confirmados, o órgão informou que 51,12% são do sexo feminino.
Nesta terça, a Sesab informou que o coeficiente de incidência por 1.000.000 habitantes foi maior na faixa etária de mais de 80 anos (644,72/1.000.000 habitantes), indicando que o risco de adoecer foi maior nesta faixa, seguida de 30 a 39 anos (525,26/1.000.000 habitantes).
